All content on this site is intended for healthcare professionals only. By acknowledging this message and accessing the information on this website you are confirming that you are a healthcare professional. If you are a patient or carer, please visit the MPN Advocates Network.
The MPN Hub website uses a third-party service provided by Google that dynamically translates web content. Translations are machine generated, so may not be an exact or complete translation, and the MPN Hub cannot guarantee the accuracy of translated content. The MPN Hub and its employees will not be liable for any direct, indirect, or consequential damages (even if foreseeable) resulting from use of the Google Translate feature. For further support with Google Translate, visit Google Translate Help.
The MPN Hub is an independent medical education platform, sponsored by AOP Health, GSK, and Novartis, and supported through educational grants from Blueprint Medicines, Incyte, and Bristol Myers Squibb. The funders are allowed no direct influence on our content. The levels of sponsorship listed are reflective of the amount of funding given. View funders.
Now you can support HCPs in making informed decisions for their patients
Your contribution helps us continuously deliver expertly curated content to HCPs worldwide. You will also have the opportunity to make a content suggestion for consideration and receive updates on the impact contributions are making to our content.
Find out more
Create an account and access these new features:
Bookmark content to read later
Select your specific areas of interest
View MPN content recommended for you
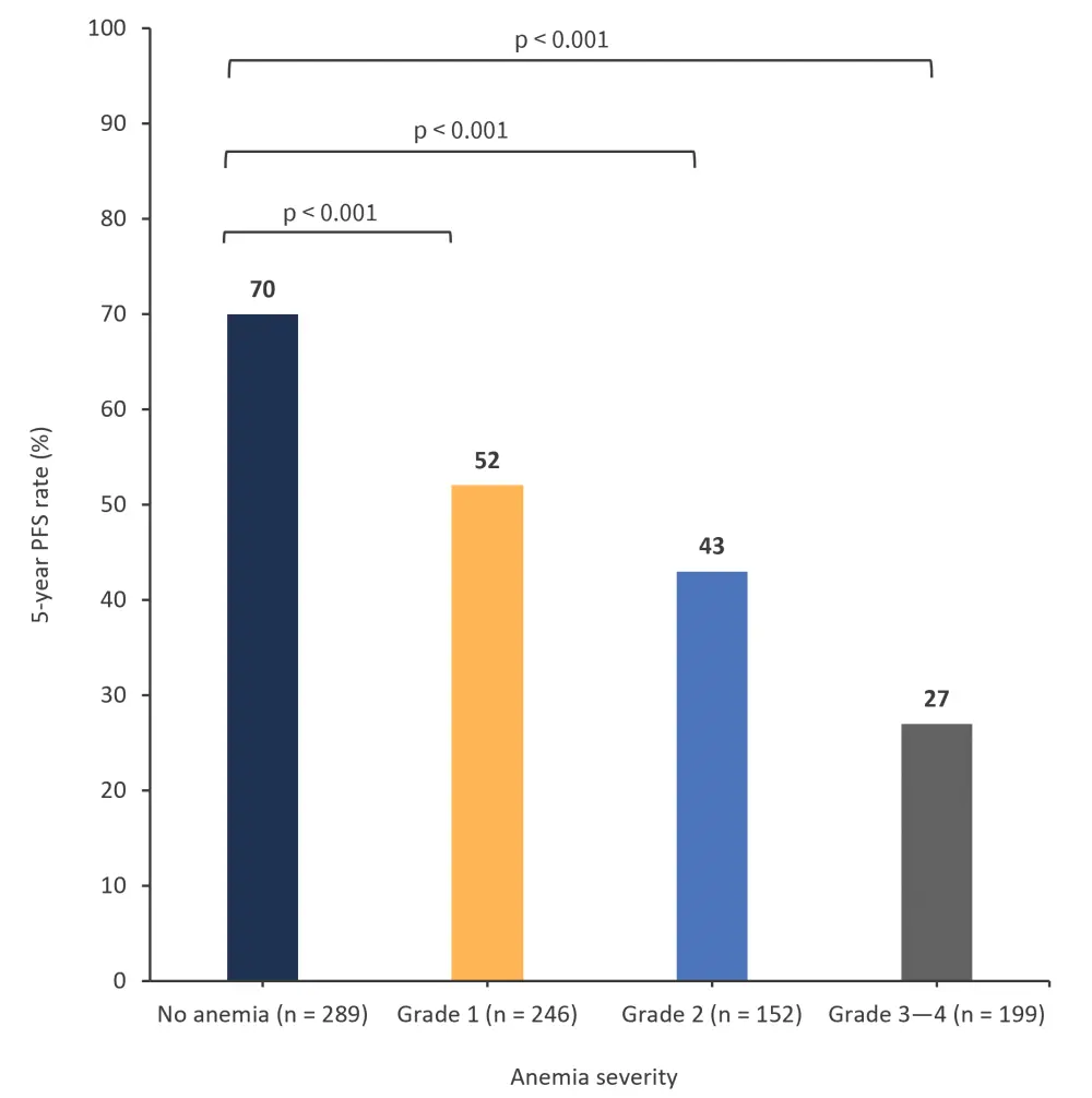
Anemia affects almost all patients during the natural progression of myelofibrosis (MF) and is a key factor linked with increased risk of blast-phase (BP) transformation. Around 30–45% of patients who receive ruxolitinib treatment for MF develop Grade 3–4 anemia; however, data surrounding BP progression in patients treated with ruxolitinib are limited.1
Palandri et al.1 published a study in Cancer reporting on the incidence of BP according to anemia severity in a large real-world cohort of patients diagnosed with primary and secondary MF, treated with ruxolitinib. We summarize the key points below.
Figure 1. 5-year progression-free survival rates according to grade of anemia in patients with MF*

PFS, progression-free survival.
*Adapted from Palandri, et al.1
|
Key learnings |
|---|
|
References
Please indicate your level of agreement with the following statements:
The content was clear and easy to understand
The content addressed the learning objectives
The content was relevant to my practice
I will change my clinical practice as a result of this content